近年来,随着我国专利权质押融资、作价入股等知识产权投融资活动的发展,企业、金融机构等对专利资产价值评估的需求与日俱增,但是,对专利资产价值评估精确性的质疑仍不绝于耳。目前,培育高价值专利、提升专利质量已成为国家知识产权局重点部署的工作,在此前提下,有必要在提高专利资产价值评估的精确性上更进一步。本文中,笔者试从评估假设、价值类型、参数选取三个方面分析当前专利资产价值评估存在的人为陷阱,以为企业、金融机构鉴别专利资产价值评估工作提供参考。

评估假设中的估值陷阱
资产评估必然依赖于各种假设前提,合理的假设前提是获取较准确的评估价值的基础。在目前专利资产价值评估操作中,除一般性的假设前提外,专利资产评估实质上是技术资产评估,也就是说,其隐含的假设前提是,待评估专利能完全涵盖对应的技术,专利能对技术起到有效的排他保护作用。因此,在这一假设前提下,专利资产评估价值实为技术资产评估价值,而现实情况是,专利不能很好地保护技术的情况比比皆是,不考虑这一因素,直接对技术资产进行评估,必然导致专利资产价值严重高估。

要实现较准确的专利资产价值评估,对专利的保护作用进行分析是必要的一步,不应冒然对专利的保护作用做出假设。首先,应分析专利权的稳定性,所谓稳定性是指一项被授权的专利在行使权利的过程中对抗无效请求的能力,应根据专利权利要求的具体特征进行考察;其次,应分析专利的不可规避性,具体指一项专利是否容易被他人进行规避设计,从而在不侵犯该项专利的专利权的情况下仍然能够达到与本专利相类似的技术效果,即权利要求的保护范围是否合适;再次,应分析专利侵权可判定性,是指基于一项专利的权利要求,是否容易发现和判断侵权行为的发生,是否容易取证,进而行使诉讼的权利[1]。上述三项是专利具有高价值的基本前提,如果一项专利很容易被无效,或者很容易被人进行规避设计,或者很难判定侵权行为,不论该专利对应技术有多先进,该专利必然是低价值的。
举个栗子
某企业拟以5项实用新型专利向银行申请专利权质押贷款,评估机构未对专利的稳定性等进行审查,直接按照技术资产进行评估,得出评估结论为1000万元,企业通过专利权质押获得银行贷款300万元,但几个月后,在一个侵权案件中,企业拥有的5项实用新型专利中有4项被无效,实际上剩余1项专利的价值远小于300万元,给银行造成了较大的风险。
价值类型中的估值陷阱
价值类型问题是对资产评估价值定义的理解问题,其决定了价值评估的具体操作和参数选取,对应不同的经济行为需求,价值评估中应选取合适的价值类型。而在专利资产价值评估中,正因企业、金融机构对价值类型的不理解,放任了在专利资产价值评估中的价值类型陷阱的存在。根据《资产评估价值类型指导意见》,评估中常用的价值类型包括市场价值、投资价值、在用价值、清算价值等,市场价值是指自愿买方和自愿卖方在各自理性行事且未受任何强迫的情况下,评估对象在评估基准日进行正常公平交易的价值估计数额;投资价值是指评估对象对于具有明确投资目标的特定投资者或者某一类投资者所具有的价值估计数额,亦称特定投资者价值;在用价值是指将评估对象作为企业组成部分或者要素资产按其正在使用方式和程度及其对所属企业的贡献的价值估计数额;清算价值是指在评估对象处于被迫出售、快速变现等非正常市场条件下的价值估计数额。

市场价值是使用最广泛的价值类型,其估值是基于正常市场条件,即:1、公开的,买者与卖者是众多的;2、买和卖可以进行比较、选择,尽可能使资产达到最高最佳使用状态;3、可以进行充分的讨价还价[2]。因此一般所说的专利资产价值,大多是指专利资产的市场价值,在专利权质押融资、作价入股等知识产权投融资活动中,对价值评估的需求也应该是市场价值类型,在相应的专利资产价值评估过程中,应基于上述正常市场条件。当然,在评估操作中,上述市场条件是否能完全实现是应重点考虑的问题,但不应为了规避难题而采取其他价值类型作为障眼法。
举个栗子
在专利权质押融资评估中选取在用价值作为价值类型,这一价值类型的基础为企业自身的使用方式,与外部市场完全无关,也就是说在进行在用价值评估时,完全不需考虑专利面临的外部市场,降低了在评估操作中的分析难度,但实质上无法满足金融机构了解质押物的真实价值的需求。
参数选取中的估值陷阱
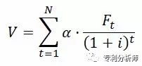
在专利资产价值评估中,评估参数的选取应遵循一定的原则,尽量减少主观因素,以确保评估结论的客观性。以专利资产价值评估最常用的方法——收益分成法为例,其基本公式为:

式中V为专利资产评估价值,α为收益分成率,Ft为未来收益额,N为专利资产剩余经济年限,i为折现率,t为序列年期。由公式可见,在其他参数不变的前提下,专利资产评估价值与收益分成率成正比,收益分成率的高估将直接导致评估价值的高估。同时,收益分成率、未来收益额和折现率三者存在严格的对应关系。未来收益额的口径可以为营业收入、净利润、净现金流量等,对应的收益分成率应分别为营业收入分成率、净利润分成率、净现金流量分成率,三种口径计算得出的收益分成额(即未来收益额×收益分成率)应基本一致。折现率的选取应与收益额口径一致,如果选用利润指标作为收益额,则折现率应选择相应的资产收益率;如果选用净现金流量指标作为收益额,应选用投资回收率作为折现率[3]。
举个栗子
在一项专利作价入股价值评估中,评估报告中收益分成率选取净利润分成率,而未来收益额的口径选取税前利润,那么评估价值将会明显高估,给被出资企业的其他股东造成损失。
综上所述,企业、金融机构等要做到综合了解评估假设、价值类型、参数选取等各方面的基本要点,理解评估价值结论的测算来源和依据,才能判断评估结论的合理性,并合理运用评估报告做出有效的经济行为决策。
